Хэш функции - презентация онлайн
Как работает хэш мапа
Что такое хэш таблица?
За 4 месяца хэш-мощность Bitcoin удвоилась, не ...
ЧЕЗ удължи двойно срока за безлихвено плащане н...
Хэш - функции (лекция 7) - презентация онлайн
Функция хэширования
Кеш Плюс - Аларик
Хэшрейт в Майнинге, Что это такое простыми слов...
хэш функции, простое пояснение и демонстрация -...
Хеш функції - online presentation
Хэш функции как механизм контроля целостности -...
Хэш-таблица | Задачи
Как вычисляется хэш-функция в ЭЦП по Эль-Гамалю...
Хеш-таблица
Хэш-таблицы за 10 минут - YouTube
Хеш-функция
Что такое ХЭШ функция? | Хеширование | Хранение...
Хэш-функции и цифровые подписи - YouTube
Хэш-плата Ebit E9 | Зевс Майнинг
Хэш плата Antminer Bitmain S19XP алюминий BHB56...
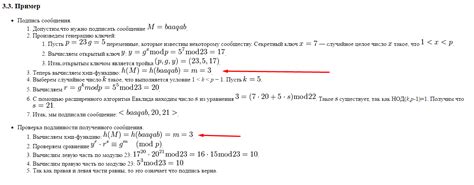
Хэш функции - online presentation
Хэш - Проблемы - YouTube
Эксплуатация подсистем безопасности АС. Хэш-фун...
Хеш-таблицы - презентация онлайн
КАК РАБОТАЮТ ХЭШ-ТАБЛИЦЫ | СТРУКТУРЫ ДАННЫХ - Y...