50 шт одноразовые креативные бумажные стаканчик...
713. Стаканчик для мороженого конической формы ...
Мерный стаканчик для мультиварки
1228 Стаканчик для мороженого конической формы ...
Отзыв о Мороженое клубничный стаканчик "Байтере...
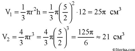
Стаканчик для мороженого в форме конуса имеет г...
5. Стаканчик для мороженого конической формы им...
Брендированные бумажные стаканы для мороженого
Презентация на тему: "Задачи по геометрии практ...
Стаканчик 🌵для напитков, с многоразовой пластик...
(Решено)Упр.1228 ГДЗ Атанасян 7-9 класс по геом...
Disposable Plastic Cups, 50Pcs Disposable Plast...
Стаканчик для приготовления мороженого Айс Крим...
Мороженое пломбир Чистая линия Ванильный в вафе...
Вафельний стаканчик для морозива конус 440 шт К...
Изготовление бумажных стаканчиков для мороженог...
Стаканчик для мороженого конической формы имеет...
КАК СДЕЛАТЬ СТАКАНЧИКИ для мороженого и сладост...
ВАФЕЛЬНЫЙ СТАКАНЧИК ДЛЯ МОРОЖЕНОГО - Ozero - ро...
PMOCO001 Пластиковый декоративный стаканчик КОН...
Modern > Стаканчик зеленый купить в интернет-ма...
Формы для мороженого стаканчик конической формы...
Мотивирующий стаканчик | Glassware, Tableware
Парламент Молдовы отоваривается: Одних только о...
Мерный стакан с кончиком рта, пластиковый мерны...