Электростанция рисунок (Много фото) - drawpics.ru
1. (Бали: 2) На рисунку зображено напрямок стру...
Купить картину Формула энергии в Москве от худо...
Детские рисунки ко дню энергетика. Легкие срисовки
Анализ 1. Нарисуйте схему получения энергии кле...
Источники энергии рисунок - 82 фото
DataLife Engine > Версия для печати > Энергосбе...
На рисунке изображена зависимость максимальной ...
Розглянь рисунки та світлини. Напиши, які дії е...
Pin by Петрик Віталій on Здоров'я | Free energy...
сила иллюстрации электричества Иллюстрация вект...
Рис.3
На рисунке показаны направление и точка приложе...
Энергетик
1.6.3. Метод накладання дії джерел енергії
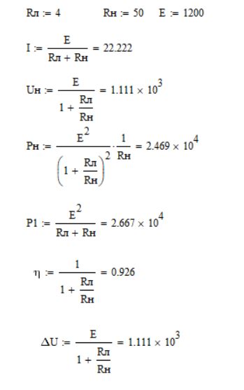
На рисунке приведена схема электрической цепи, ...
b) Выделите на рисунке главный источник энергии...
лр1 ДОСЛІДЖЕННЯ ЛІНІЇ ПЕРЕДАЧІ ЕЛЕКТРИЧНОЇ ЕНЕР...
Энергия ветра Энергетический рисунок Раскраска,...
Завдання 1 Доповнити малюнки: вказати напрям ді...
срочнооо!!!! На рисунку зображено схему електри...
Позначте на рисунку напрям в якому тече електри...
ФИЗИКА 2008 Понедељак, 3. Новембар, 2008 Рад Ки...
Энергосбережение рисунок в школу и в детский садик
Электрическое поле каких зарядов нарисованы на ...
Рисунки на подстанциях
Определите виды энергии, изображенные на рисунк...
Задание №10353: На рисунке (а) приведена зависи...
ДЗ №14 Энергия (8 класс)
ЭНЕРГЕТИЧЕСКИЕ РИСУНКИ, КОТОРЫЕ ЛЕЧАТ - YouTube
Рисунок электро