Что такое гликоген - описание, роли и функции :...
Гликоген: где содержится, каковы функции и стру...
Зоя.БГ - Гликолова киселина
Гликогеногенез — Википедия
Гликолевая кислота. Большая российская энциклоп...
Гликоген: функции, образование и метаболизм | М...
Гликогенолиз и гликогеногенез
Гликоген: для чего он нужен?. что такое гликоген?
Гликоген - Химия
Инозит и D-глюкуроновая кислота - Некоторые час...
32) Гликозидная связь в структуре углеводов и и...
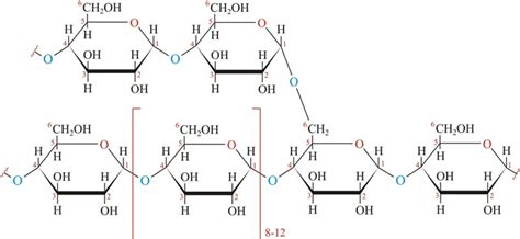
Гликоген. Структура. Физические и химические св...
Гликоген что это простыми словами
Гликолевая кислота для лица
ГЛЮКОНОВАЯ КИСЛОТА — Большая Медицинская Энцикл...
Анаэробный гликолиз. Молочная и пировиноградная...
Гликоген
Часть I. Гликогеногенез — Студопедия
Глюконовая кислота. Большая российская энциклоп...
Всё, что вы хотели знать про гликоген
Гликоген это в биологии. Гликоген это в биологи...
Glikogen — Википедија
Гликоген: что это такое и его роль в организме,...
Гликолевая кислота в косметологии и косметике!
ГЛИКОГЕНОЛИЗ. ГЛИКОГЕНЕЗ. ГЛЮКОНЕОГЕНЕЗ. РЕГУЛИ...
Гликоген и его роль в бодибилдинге
презентация к уроку "Углеводы"
Гликолевая кислота в косметике: действие на кож...
ГЛИКОЛИЗ И ГЛЮКОНЕОГЕНЕЗ
молекулярная формула гликогена. гликоген являет...