(Решено)Упр.2.15 ГДЗ Мерзляк 11 класс по алгебр...
А. Г. Мерзляк, Математика: алгебра и начала мат...
Книга: Математика. Вероятность и статистика. Уг...
(Решено)Упр.28.398 ГДЗ Мерзляк 11 класс по алге...
Алгебра. 11 класс. Самостоятельные и контрольны...
Математика: алгебра и начала математического ан...
Алгебра и начала математического анализа. 11 кл...
Решебник по алгебре Мерзляк 11 класс Углубленны...
Математика. Геометрия. 11 класс. Учебник. Углуб...
(Решено)Упр.28.122 ГДЗ Мерзляк 11 класс по алге...
Математика. Алгебра и начала математического ан...
(Решено)Упр.28.340 ГДЗ Мерзляк 11 класс по алге...
(Решено)Упр.27.18 ГДЗ Мерзляк 11 класс по алгеб...
Математика 11 класс профиль 2024
(Решено)Упр.7.16 ГДЗ Мерзляк 11 класс по алгебр...
(Решено)Упр.28.142 ГДЗ Мерзляк 11 класс по алге...
(Решено)Упр.28.223 ГДЗ Мерзляк 11 класс по алге...
(Решено)Упр.28.145 ГДЗ Мерзляк 11 класс по алге...
Математика. Геометрия. 11 класс. Авторы: А.Г. М...
Е. В. Потоскуев, Л. И. Звавич "Математика. Алге...
Книга: "Геометрия. 11 класс. Самостоятельные и ...
(Решено)Упр.28.121 ГДЗ Мерзляк 11 класс по алге...
(Решено)Упр.11.10 ГДЗ Мерзляк 11 класс по алгеб...
(Решено)Упр.28.353 ГДЗ Мерзляк 11 класс по алге...
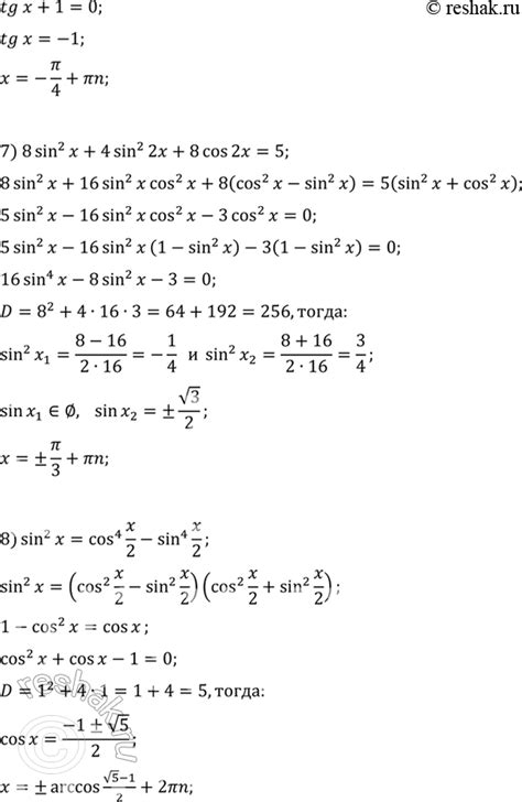
(Решено)Упр.28.144 ГДЗ Мерзляк 11 класс по алге...
Книга: "Геометрия. 11 класс. Углубленный уровен...
Геометрия 11 класс. Самостоятельные и контрольн...
Геометрия. 11 класс. Учебник. Углубленный урове...
(Решено)Упр.8.18 ГДЗ Мерзляк 11 класс по алгебр...
(Решено)Упр.6.33 ГДЗ Мерзляк 11 класс по алгебр...
Геометрия. 11 класс. Самостоятельные и контроль...