ГДЗ контрольные работы / вариант 1 2 математика...
ГДЗ вариант 4 32 математика 6 класс дидактическ...
Calaméo - Математика 6 класс Мерзляк
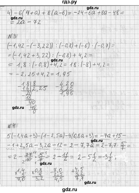
ГДЗ контрольные работы / вариант 2 3 математика...
Математика: 6 класс Рабочая тетрадь Часть 1 201...
Мерзляк 6 класс Математика Сборник самостоятель...
Підручник з математики 6 клас мерзляк а.г. — ці...
Підручник Математика 6 клас Мерзляк 2023
ГДЗ контрольные работы / вариант 2 10 математик...
Учебники: Математика 6 класс Мерзляк Полонский
Мерзляк Сборник задач Математика 6 класс "Гімна...
ОК ГДЗ Математика 6 класс Мерзляк ФГОС | Учебник
ГДЗ вариант 2 174 математика 6 класс дидактичес...
Математика. 6 класс. Дидактические материалы. М...
ГДЗ математика 6 класс Мерзляк, Полонский учебн...
Учебник По Математике 6 Класс Мерзляк Фото — Ск...
Математика 6 Класс Мерзляк Учебник Решебник - l...
ГДЗ по математике 6 класс Мерзляк, Полонский, у...
Решебник (ГДЗ) для учебника Математика 6 класс ...
Математика 6 класс Мерзляк 2014 учебник
А. Г. Мерзляк, Математика. 6 класс. Методическо...
ГДЗ контрольные работы / вариант 1 9 математика...
В-3 № 1-100 - Математика 6 класс Мерзляк дидакт...
Математика 6 класс Мерзляк Б У учебник (second ...
ГДЗ контрольные работы / вариант 2 9 математика...
Математика. 6 класс, А. Г. Мерзляк – скачать pd...
ГДЗ вариант 1 65 математика 6 класс дидактическ...
ГДЗ вариант 1 122 математика 6 класс дидактичес...
Учебник. Математика, 6 класс. Мерзляк А.Г., Пол...
ГДЗ вариант 4 189 математика 6 класс дидактичес...
ГДЗ контрольные работы / вариант 1 10 математик...
ГДЗ вариант 2 47 математика 6 класс дидактическ...
Учебник математика 6 класс Мерзляк купить | Хоб...
Учебник математика 6 класс мерзляк | Festima.Ru...