Кальций Хлор 2 Название – Telegraph
HÓA CHẤT CÔNG NGHIỆP: Calcium chloride hay phèn...
2 Кальций Вода – Telegraph
Кальций Хлор 1 2 – Telegraph
Молярная Масса Кальций Хлор 2 – Telegraph
Кальций хлористый 2-вод. для пищевой пром-ти. ч...
Кальций хлористый безводный, Голландия (арт. 10...
Степень Окисления Кальций Хлор 2 – Telegraph
Кальций Хлор 2 Вид Химической Связи – Telegraph
Кальция хлорид 2-водный фасовка 2 кг. Кальций х...
Кальций хлористый технический CaCl2: продажа, ц...
Кальций Co2 – Telegraph
Кальций Хлор 2 Гидролиз – Telegraph
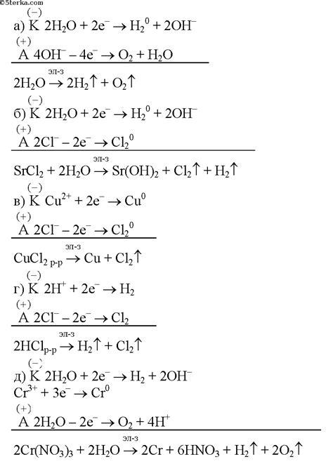
Электролиз Кальций Хлор 2 – Telegraph
Кальций Хлор Кислород 2 – Telegraph
Хлорид кальция пищевой CaCl2 95% безводный, пак...
Хлористый кальций (хлорид кальция) 2 водный (пи...
Кальций хлористый пищевой — Agro-Kazakhstan
Хлорид кальция - RUSAGRO LLC
Хлорид кальция (хлористый кальций) - купить в А...
PHÂN PHỐI CALCIUM CHLORIDE CACL2 96% CHINA - HÓ...
Хлорид кальция экспортный, хлористый кальций (C...
CaCl2
ДЕЗИНФЕКТОР гранулированный КАЛЬЦИЙ-ХЛОР 92% "А...
Хлорид кальция CaCl2 CAS 10035-04-8
Получение осадка фторида кальция | CaCl2 + 2HF ...
Кальций Хлор 2 Это Соль – Telegraph
вычисли массу хлорида кальция cacl2 химическим ...
2 Визначте загальну кількість йонів, що утворит...
Соль Хлорид кальция (CaCl2), 100 г - купить с д...
Промышленный хлорид кальция CaCL2 ранга, хлопь ...
Кальций хлористый 2 водный пищевой